Flowchart Mencari Akar Persamaan Kuadrat

Langkah pertama yang harus kita lakukan adalah mencari tau apa itu akar akar persamaan kuadrat dan jenis jenis akar persamaan kuadrat.
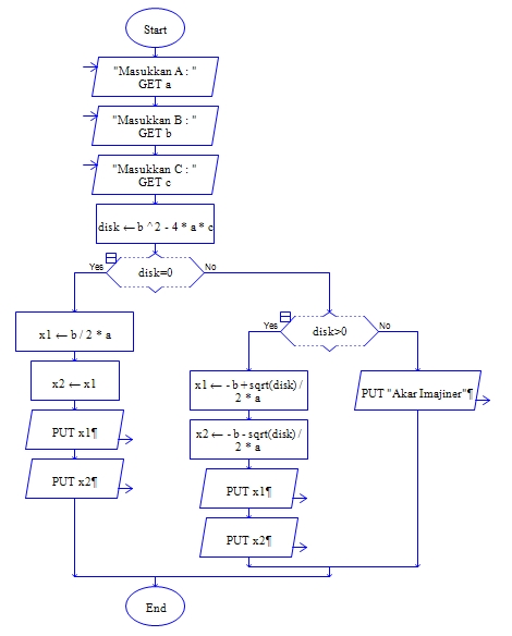
Flowchart mencari akar persamaan kuadrat. 3 3 algoritma menghitung akar akar persamaan kuadrat masalah. Flowchart untuk mencari akar akar persamaan kuadrat. Koefisien a b dan c. Contoh flowchart untuk mengkonversikan nilai angka menjadi nilai huruf.
Mencari titik tengah sebuah garis untuk memisahkan. Flowchart untuk mencari nilai terbesar antara tiga nilai. Algoritma penarikan dan pengiriman uang melalui bu. Mencari akar persamaan kuadrat dengan pemfaktoran.
Mempunyai akar akar m dan n dengan ketentuan m n. Namanya pemfaktoran jadi intinya mencari faktor nilai x. Buatlah algoritma mencari akar akar persamaan kuadratnya analisis. Suatu persamaan kuadrat baru juga dapat dibentuk walaupun tidak ada diketahui nilai dari akar akarnya.
Algoritma flowchart akar akar persamaan kuadrat pr. Ketentuan yang harus dipenuhi yaitu. Jadi kalo kita lihat dari persamaan umum dari ax 2 bx c 0 maka pada bagian pangkat 2 itu adalah suku banyak. Flowchart untuk mencari jumlah dari dua fariabel.
Dengan syarat akar akar tersebut memiliki hubungan atau relasi dengan akar akar dari pk yang lain. Oktober 22 2007 pada 5 08 pm uncategorized. Berikut kami berikan 21 contoh algoritma dan flowchart kehidupan sehari hari yang bisa kamu pelajari. X1 x2 b 2a jika d 0 maka terdapat 2 akar real yang berlainan yaitu.
B 2 4ac 0 akan diperoleh akar imajiner. D b b 4ac jika d 0 maka terdapat 2 akar real yang kembar yaitu. Algoritma pemograman flowchat dan program akar persamaan kuadrat postingan kali ini saya share tentang permasalahan akar persamaan kuadrat. Algoritma flowchart untuk menghitung determinan dan mencari akar2 dari persamaan kuadrat ax2 bx c 0.
Flowchart untuk mengkonversi hari ke 1 adalah hari senin sampai dengan hari ke 7 adalah minggu. Persamaan kuadrat adalah suku banyak yang dimana 2 adalah pangkat tertinggi yang dimiliki suatu variabel dalam sebuah persamaan maksudnya apa ya. Berikut ini cara mencari akar persamaan kuadrat. Dengan bentuk umum persamaan kuadrat ax 2 bx c 0 a tidak samadengan 0.
Persamaan kuadrat dari. Mencari akar akar persamaan kuadrat jika sobat punya persamaan kuadrat maka penyelesaian persamaa tersebut adalah dengan mencari akar akar persamaan kuadrat nya. Algoritma dan flowchart merupakan hal yang harus dipelajari ketika kita ingin menjadi developer programer. Contoh soal persamaan kuadrat dan pembahasan contoh soal 1.
A b c proses.