ads/auto.txt

Kumpulan Soal Pangkat Dan Akar Kelas 9 Smp

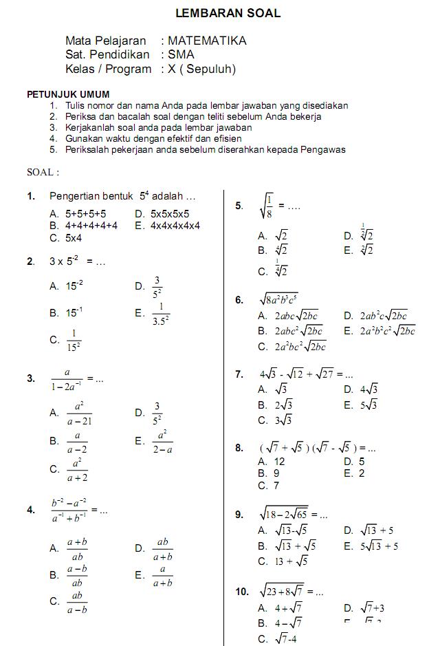
Soal Soal Pangkat Bentuk Akar Dan Logaritma

Soal Soal Pangkat Bentuk Akar Dan Logaritma

Contoh Soal Dan Pembahasan Bilangan Berpangkat Smp Kelas 9 Guru Ilmu Sosial

Contoh Soal Dan Pembahasan Bilangan Berpangkat Smp Kelas 9 Guru Ilmu Sosial

Sebutkan 8 Sifat Sifat Eksponen Berserta Contohnya Brainly Co Id

Sebutkan 8 Sifat Sifat Eksponen Berserta Contohnya Brainly Co Id

Soal Dan Pembahasan Matematika Bentuk Pangkat Dan Akar 6 10 Istana Mengajar

Soal Dan Pembahasan Matematika Bentuk Pangkat Dan Akar 6 10 Istana Mengajar

Soal Dan Pembahasan Bentuk Pangkat Akar Dan Logaritma Pdf Guru Ilmu Sosial

Soal Dan Pembahasan Bentuk Pangkat Akar Dan Logaritma Pdf Guru Ilmu Sosial

Bab 1 Pangkat Akar Dan Logaritma

Bab 1 Pangkat Akar Dan Logaritma

Bab 1 Pangkat Akar Dan Logaritma

Contoh file download rpp kkm panduan rpp program tahunan program semester dan sd kd dan semua mata pelajaran untuk smp mts berikut ini adalah kumpulan dari berbagi sumber tentang contoh soal pangkat dan akar kelas 9 smp yang bisa gunakan untuk pendidikan dan guru rpp kurtilas dan diunduh secara gratis dengan menekan tombol.

Kumpulan soal pangkat dan akar kelas 9 smp. Updet soal sma donk yang materi bentuk akar pangkat dan logaritma please thanks kaka. Guru sd smp sma contoh soal perangkat dan akar pangkat kelas 9. September 1 2014 at 7 36 pm delete. Latihan soal tentang bilangan berpangkat kelas 9 smp mts kurikulum 2013 dan kunci jawabannya ini merupakan contoh soal terbaru yang akan saya bagikan bagi bapak ibu yang mengampu mata pelajaran matematika kelas 9 smp mts yang telah menerapkan kurikulum 2013 untuk semester 1.

Latihan soal bilangan berpangkat dan bentuk akar untuk kelas 9 yang mempersiapkan diri menghadapi ujian nasional. Wahh maaf saya gak ada kumpulan soal yang sma saya hanya fokus yang smp tapi. Materi bilangan berpangkat dan bentuk akar smp kelas 9 ilmu matematika merupakan salah satu ilmu yang kegunaan dan manfaatnya cukup penting dirasakan bagi para ilmuan. Contoh soal pangkat dan akar kelas 9 smp plus kunci jawaban juragan les.

Berikut ini adalah contoh soal soal latihan dalam menghadapi penilaian tengah semester pts atau ulangan tengah semester uts kalau dalam kurikulum 2006 mata pelajaran matematika untuk kelas 9 ix smp mts semester 1 gasal ganjil kurikulum 2013 edisi revisi 2018. Matematikastudycenter rangkuman soal ujian nasional matematika smp mts materi akar dan pangkat dari tahun 2005 hingga 2011 2012 2013. Soal pangkat dan akar kelas 9 smp. A 4 b 3 c 2 b.

5 bentuk sederhana dari. Belajar matematika smp sma. Pangkat dalam matematika adalah bentuk perkalian berulang. Soal pangkat dan akar kelas 9 semoga contoh soal pangkat dan akar lengkap dengan kunci jawaban dan pembahasan ini bermanfaat untuk adik adik khususnya yang sudah kelas 9 sekolah menengah pertama smp sltp mts dan bisa dijadikan referensi belajar.

Contoh file soal uts lengkap kelas 1 6 sd mi semua mata pelajaran 2016 2017 berikut ini adalah kumpulan dari berbagi sumber tentang contoh soal perangkat dan akar pangkat kelas 9 yang bisa gunakan untuk bank soal download sd dan diunduh secara gratis dengan menekan tombol download biru dibawah ini. Halo adik adik berikut ini kakak admin bagikan contoh soal pangkat dan akar soal matematika kelas 9 smp lengkap dengan kunci jawaban dan pembahasan. Guru sd smp sma contoh soal pangkat dan akar kelas 9 smp.

Soal Latihan Matematika Kelas 5 Akar Pangkat 3 Guru Ilmu Sosial

Soal Latihan Matematika Kelas 5 Akar Pangkat 3 Guru Ilmu Sosial

Contoh Soal Operasi Bilangan Berpangkat Dan Bentuk Akar Dan Logaritma Kumpulan Soal Pelajaran 8

Contoh Soal Operasi Bilangan Berpangkat Dan Bentuk Akar Dan Logaritma Kumpulan Soal Pelajaran 8

Kumpulan Soal Un Sd Dan Pembahasan Guru Ilmu Sosial

Kumpulan Soal Un Sd Dan Pembahasan Guru Ilmu Sosial

Contoh Soal Bilangan Berpangkat Matematika Smp Dan Penyelesaiannya Soalfismat Com

Contoh Soal Bilangan Berpangkat Matematika Smp Dan Penyelesaiannya Soalfismat Com

Contoh Soal Akar Pangkat Dan Logaritma Beserta Jawaban Guru Ilmu Sosial

Contoh Soal Akar Pangkat Dan Logaritma Beserta Jawaban Guru Ilmu Sosial

Soal Perpangkatan Dan Bentuk Akar Kelas 9 Pdf Berbagi Bentuk Penting

Soal Perpangkatan Dan Bentuk Akar Kelas 9 Pdf Berbagi Bentuk Penting

Contoh Soal Pelajaran Puisi Dan Pidato Populer Contoh Soal Un Bentuk Akar Dan Penyelesaiannya

Contoh Soal Pelajaran Puisi Dan Pidato Populer Contoh Soal Un Bentuk Akar Dan Penyelesaiannya

Soal Dan Pembahasan Tentang Bilangan Berpangkat Dan Bentuk Akar Guru Ilmu Sosial

Soal Dan Pembahasan Tentang Bilangan Berpangkat Dan Bentuk Akar Guru Ilmu Sosial

Cara Mengerjakan Bentuk Sederhana Dari Akar Guru Ilmu Sosial

Cara Mengerjakan Bentuk Sederhana Dari Akar Guru Ilmu Sosial

Bilangan Pangkat Pecahan Pengertian Rumus Sifat Operasi Hitung Dan Contoh Soal Bilangan Pangkat Pecahan Lengkap Pelajaran Sekolah Online

Bilangan Pangkat Pecahan Pengertian Rumus Sifat Operasi Hitung Dan Contoh Soal Bilangan Pangkat Pecahan Lengkap Pelajaran Sekolah Online

Contoh Soal Un Bentuk Pangkat Akar Dan Logaritma Dan Penyelesaiannya Dapatkan Contoh

Contoh Soal Un Bentuk Pangkat Akar Dan Logaritma Dan Penyelesaiannya Dapatkan Contoh

5 Latihan Soal Matematika Pangkat Tak Sebenarnya Kelas 9 Smp

5 Latihan Soal Matematika Pangkat Tak Sebenarnya Kelas 9 Smp

Cara Mengerjakan Soal Bentuk Sederhana Kelas 12 Guru Ilmu Sosial

Cara Mengerjakan Soal Bentuk Sederhana Kelas 12 Guru Ilmu Sosial

Contoh Soal Dan Pembahasan Bilangan Berpangkat Negatif Guru Ilmu Sosial

Contoh Soal Dan Pembahasan Bilangan Berpangkat Negatif Guru Ilmu Sosial

Source : pinterest.com