ads/auto.txt

Rumus Pangkat Akar Dan Logaritma Kelas 10

Os2kangkung Soal Dan Pemb Un Matematika Bab Bentuk Pangkat Akar Dan Logaritma Matematika Belajar Kiat Belajar

Os2kangkung Soal Dan Pemb Un Matematika Bab Bentuk Pangkat Akar Dan Logaritma Matematika Belajar Kiat Belajar

Bentuk Akar Pangkat Akar Dan Logaritma Youtube

Bentuk Akar Pangkat Akar Dan Logaritma Youtube

Lks Sma Mat X

Lks Sma Mat X

Logaritma Pengertian Rumus Sifat Contoh Soal Dan Pembahasan Zenius Nb19

Logaritma Pengertian Rumus Sifat Contoh Soal Dan Pembahasan Zenius Nb19

Kelas X Hubungan Pangkat Pecahan Dengan Operasi Akar

Kelas X Hubungan Pangkat Pecahan Dengan Operasi Akar

Mnjvofwodwvhim

Mnjvofwodwvhim

Mnjvofwodwvhim

Demikian postingan perihal bentuk pangkat bentuk akar dan logaritma.

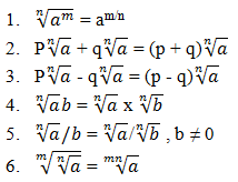
Rumus pangkat akar dan logaritma kelas 10. Sekian artikel tentang definisi bentuk umum dan sifat logaritma. A log b c a log b a log c dan. Bentuk pangkat akar dan logaritma jika a adalah sukses maka rumusnya adalah a x y z dimana x adalah kerja y adalah bermain dan z adalah jaga mulut anda agar tetap tertutup albert einstein materi bentuk pangkat bentuk akar dan logaritma adalah materi matematika yang menyambut siswa pertama kali saat menginjak bangku sma. Atau kalau ingin mengetahui rumus rumus cepat dan smart solutions matematika silakan ke sini.

Tentukan nilai dari f. Contoh contoh soal latihan bentuk akar akan saya posting di lain kesempatan. Pada kesempatan kali ini batas ketik akan sharing mengenai. Tentukan nilai dari e.

Jika anda ingin mendownloadnya silahkan ke sini. A 2 3 8 b 5 4 625 c 7 2 49 pembahasan transformasi bentuk pangkat ke bentuk logaritma. Pada pertemuan sebelumnya telah dibahas tentang pengertian persamaan logaritma dimana diartikel sebelumnya diuraikan lengkap mulai dari pengertian sifat rumus dan beberapa contoh soal namun tidak banyak. Latihan soal logaritma untuk sma kelas 10.

Berikut ini saya postingkan modul bentuk pangkat bentuk akar dan logaritma untuk siswa sma kelas x semester 1 yang memuat tentang berbagai teorema dan rumus bentuk pangkat operasi bentuk akar dan pengenalan tentang pengertian logaritma. Log b c alog b alog c dan log alog b alog c. Semoga artikel ini bermanfaat dan menambah wawasan kamu. A 2 3 8 2 log 8 3 b 5 4 625 5 log 625 4 c.

Tentukan nilai dari d. Jika b a c maka b log c a. Terima kasih sudah membaca semoga memberi manfaat. Soal soal dasar a tentukan nilai dari 3 2 x 2 3 b tentukan nilai dari.

Kelas 10 kumpulan soal matematika sma. Modul ini disusun sedemikian rupa mulai dari materi dan rumus rumus singkat latihan soal beserta. Rumus co id pada kesempatan kali ini kita akan membahas tentang contoh soal logaritma matematika kelas 10 penjumlahan pengurangan beserta jawabannya dan pembahasannya lengkap. Contoh soal dan pembahasan bentuk pangkat dan akar materi matematika kelas x sma.

Postingan kali ini akan dibahas tentang pengertian bentuk akar bilangan rasional dan irasional operasi bentuk aljabar merasionalkan penyebut yang berbentuk akar pangkat pecahan dan sifat sifatnya dan persamaan pangkat sederhana. Materi logaritma sma kelas 10 lengkap dengan contoh soal dan pembahasan. 1 ubah bentuk pangkat pada soal soal berikut menjadi bentuk logaritma. Latihan soal dan pembahasan logaritma sma kelas x.

Untuk soal seperti di atas maka kita perlu mengingat sifat logaritma. Biar makin ngerti tentang akar pangkat dan logaritma jangan lupa buat. 1 ubah bentuk pangkat pada soal soal berikut menjadi bentuk logaritma.

Bab 1 Bentuk Pangkat Akar Logaritma

Bab 1 Bentuk Pangkat Akar Logaritma

Kunci Jawaban

Kunci Jawaban

Soal Matematika Akar Pangkat Kunci Dunia

Soal Matematika Akar Pangkat Kunci Dunia

Matematika Kelas 10 Bab 1 07 Bentuk Pangkat Pecahan Youtube

Matematika Kelas 10 Bab 1 07 Bentuk Pangkat Pecahan Youtube

Materi Tentang Logaritma Guru Ilmu Sosial

Materi Tentang Logaritma Guru Ilmu Sosial

Contoh Soal Dan Pembahasan Bilangan Berpangkat Negatif Guru Ilmu Sosial

Contoh Soal Dan Pembahasan Bilangan Berpangkat Negatif Guru Ilmu Sosial

Doc Rppmatematika Berkarakter Smakelas Xsms1 Syamsul Arifin Academia Edu

Doc Rppmatematika Berkarakter Smakelas Xsms1 Syamsul Arifin Academia Edu

Soal Dan Pembahasan Bentuk Pangkat Akar Dan Logaritma Pdf Guru Ilmu Sosial

Soal Dan Pembahasan Bentuk Pangkat Akar Dan Logaritma Pdf Guru Ilmu Sosial

Bentuk Pangkat Akar Dan Logaritma

Bentuk Pangkat Akar Dan Logaritma

Rumus Logaritma Dan Pangkat Docx

Rumus Logaritma Dan Pangkat Docx

Bentuk Pangkat Akar Dan Logaritma Kelas 10

Bentuk Pangkat Akar Dan Logaritma Kelas 10

Https Nanopdf Com Download Bab I Matematika I Pdf

Https Nanopdf Com Download Bab I Matematika I Pdf

Contoh Soal Operasi Bilangan Berpangkat Kumpulan Soal Pelajaran 3

Contoh Soal Operasi Bilangan Berpangkat Kumpulan Soal Pelajaran 3

26906409 Rencana Pelaksanaan Pembelajaran Rpp Rintisan Satuan Kredit Pdf Document

26906409 Rencana Pelaksanaan Pembelajaran Rpp Rintisan Satuan Kredit Pdf Document

Source : pinterest.com