Rumus Rasional Bentuk Akar Pecahan

Merasionalkan penyebut pecahan bilangan bentuk akar itu artinya mengubah penyebut pecahan yang berbentuk akar menjadi bentuk rasional sederhana.
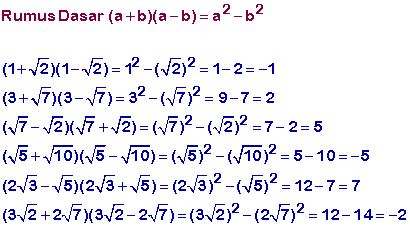
Rumus rasional bentuk akar pecahan. Bilangan rasional dapat dinyatakan dalam bentuk pecahan atau bentuk desimal. Penyebut yang berbentuk akar dari pecahan tersebut dapat diubah menjadi bilangan rasional. Contoh bilangan irasional adalah bentuk akar misalnya 5 7 11 dan 13. Ada tiga cara merasionalkan penyebut.
2 2 5. Ubahlah bentuk pangkat pecahan berikut ke dalam bentuk akar. Bilangan rasional mencakup beberapa macam bilangan yaitu. Pecahan a rasional dan b merupakan bentuk akar bagian penyebutnya dapat dirasionalkan dengan cara mengalikan pecahan tersebut dengan sehingga pecahan tersebut menjadi seperti berikut.
Cara merasionalkan setiap penyebut berlainan. Cara untuk merasionalkan penyebut pecahan yaitu dengan mengalikan pembilang dan penyebut pecahan tersebut dengan bentuk akar yang sekawan dari penyebut tersebut. 2 bentuk akar atau lebih dapat dijumlahkan atau dikurangkan jika bentuk akar2 tersebut sejenis. Pembahasan dimisalkan dulu kita namakan p saja kuadratkan ruas kiri kuadratkan ruas kanan.
Merasionalkan penyebut pecahan di dalam bilangan bentuk akar artinya mengubah penyebut dari pecahan yang bentuknya akar menjadi bentuk rasional atau sederhana. Dengan nilai a dari nilai b. Perhatikan bahwa untuk mengubah penyebut yang asalahnya bentuk akar menjadi bilangan rasional dibutuhkan pengali. Ubahlah bentuk akar berikut ke dalam bentuk pangkat pecahan.
Artinya 2 merupakan bilangan irasional karena tidak bisa dinyatakan dalam bentuk pecahan yang pembilang dan penyebutnya bilangan bulat. Rumus dan sifat logaritma beserta contoh soal logaritma pecahan berbentuk atau. Pecahan bentuk akar juga termasuk bilangan irasional misalnya 1 5 3 7 4 11 dan 2 13. Untuk soal b tanda plusnya diganti minus saja ya pembahasan arahkan soal ke bentuk berikut.
Bilangan bulat bilangan asli bilangan cacah bilangan prima dan bilangan bilangan lain yang menjadi subset dari bilangan rasional tersebut. Selanjutnya saya akan membahas tentang cara merasionalkan penyebut pecahan bentuk akar atau dalam bentuk akar ini terdapat penyebut a b dan a b dimana a dan b ialah bilangan rasional sedangkan b ialah bilangan yang berbentuk akar. Bentuk 2 3 5 dan sebagainya disebut sebagi bentuk akar. Sederhanakan bentuk akar berikut.
Bentuk akar adalah akar bilangan rasional yag hasilnya merupakan bilangan irasional. Suatu bilangan yang bisa dikatakan dapat dibagi menjadi 2 sekup besar adalah bilangan rasional dan bilangan irasional. Pecahan dalam bentuk a a b contoh.