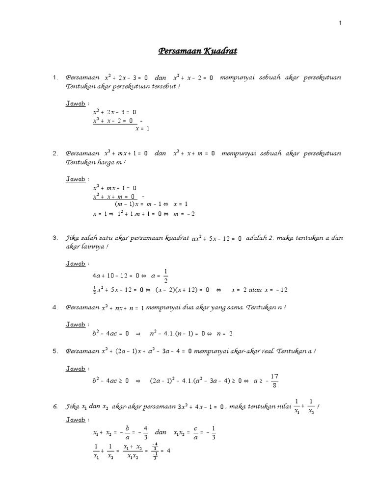
Akar Akar Persamaan Kuadrat Pdf

Dengan syarat akar akar tersebut memiliki hubungan atau relasi dengan akar akar dari pk yang lain.
Akar akar persamaan kuadrat pdf. Persamaan kuadrat yang memuat a dan c saja. Soal sifat akar persamaan kuadrat pdf. X 2 25 0. Faktorisasi bentuk x2 bx c 0 diuraikan kebentuk.
Suatu persamaan kuadrat baru juga dapat dibentuk walaupun tidak ada diketahui nilai dari akar akarnya. Posisi a dan c di tukar 1 jika akar akar yang diketahui x1 dan x2 maka kebalikan akar akarnya berbantuk. Mempunyai akar akar m dan n dengan ketentuan m n. Untuk c bernilai positif akan diperoleh angka angka imajiner.
Maka persamaan baru akar akarnya 1 1 x. Menentukan jenis akar persamaan kuadrat terdapat tiga cara untuk menentukan akar persamaan kuadrat. 1 x 2 1 dan 1 x r 2missal akar akar 2x 3x 5 0 x1 dan x2. Akar akar persamaan kuadrat nilai yang memenuhi persamaan kuadrat disebut akar persamaan kuadrat dan dinotasikan dengan x ax2 bx c 0 1 dan x2.
Persamaan kuadrat yang memuat a dan c saja akan mempunyai penyelesaian real jika c bernilai negatif. Persamaan kuadrat dari. Dengan a b merupakan koefisien dan c adalah konstanta serta a 0. Contoh file berikut ini adalah kumpulan dari berbagi sumber tentang soal soal persamaan kuadrat kelas 9 yang bisa gunakan untuk dan diunduh secara gratis dengan menekan tombol download biru dibawah ini.
Rumus menentukan jumlah dan hasil akar akar persamaan kuadrat. Cx2 bx a 0 kunchi. Penyelesaian atau pemecahan dari sebuah persamaan ini disebut sebagai akar akar persamaan kuadrat. Persamaan kuadrat yaitu merupakan suatu persamaan dari variabel yang mempunyai pangkat tertinggi dua.
Akar akar persamaan kuadrat dapat dicari dengan beberapa cara yaitu. Tentukan akar akar persamaan kuadrat berikut dengan cara memfaktorkan. Akar persamaan kuadrat ax 2 bx c 0 adalah nilai x yang memenuhi persamaan kuadrat tersebut. Bentuk umum persamaan kuadrat ax 2 bx c 0 a tidak sama dengan 0.
View pers kuadrat pdf from matematika mm10 at universitas terbuka. 1 persamaan kuadrat yang akar akarnya kebalikan dari akar akar ax2 bx c 0 adalah.